Câu hỏi
Ở một loài thực vật xét 2 gen cùng nằm trên một cặp nhiễm sắc thể thường, mỗi gen đều có 2 alen và quy định một tính trạng; alen trội là trội hoàn toàn. Cho hai cơ thể dị hợp tử về hai cặp gen có kiểu gen giống nhau giao phấn với nhau, thu được F1. Biết không xảy ra đột biến, quá trình phát sinh giao tử đực và cái xảy ra hoán vị gen với tần số bằng nhau. Theo lí thuyết, có bao nhiên phát biểu sau đây đúng?
I. Trong loài tối đa có 55 phép lai.
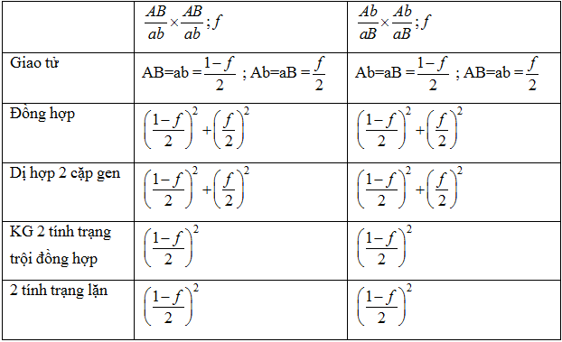
II. Đời con F1 tỉ lệ cây có kiểu gen đồng hợp bằng tỉ lệ cây có kiểu gen dị hợp 2 cặp gen.
III. Đời con F1 tỉ lệ cây có kiểu gen dị hợp tử 2 cặp gen đều chiếm tỉ lệ như nhau.
IV. Đời con F1 tỉ lệ cây mang 2 tính trạng trội có kiểu gen đồng hợp bằng tỉ lệ cây mang 2 tính trạng lặn.
- A 1
- B 4
- C 2
- D 3
Phương pháp giải:
Nếu gen nằm trên NST thường: \(\frac{{n(n + 1)}}{2}\) kiểu gen hay \(C_n^2 + n\)
Nếu có nhiều gen trên 1 NST coi như 1 gen có số alen bằng tích số alen của các gen đó
Số kiểu giao phối = số kiểu gen ở giới đực × số kiểu gen ở giới cái
Lời giải chi tiết:
Ta coi 2 gen này như 1 gen có 4 alen, số kiểu gen tối đa là: \(C_4^2 + 4 = 10\)
I đúng, số kiểu giao phối là : \(C_{10}^2 + 10 = 55\)
Có 2 trường hợp của P

II đúng
III đúng
IV đúng
Chọn B


