• Lớp 12
    • Ngữ văn 12
      • Soạn văn - Kết nối tri thức
      • Soạn văn - Cánh diều
      • Soạn văn - Chân trời sáng tạo
      • Tác giả tác phẩm
      • Tóm tắt, bố cục Văn - Kết nối tri thức
      • Tóm tắt, bố cục Văn - Cánh diều
      • Tóm tắt, bố cục Văn - Chân trời sáng tạo
      • SBT Văn - Kết nối tri thức
      • >> Xem thêm
    • Toán học 12
      • SGK Toán - Kết nối tri thức
      • SGK Toán - Cánh diều
      • SGK Toán - Chân trời sáng tạo
      • SGK Toán - Cùng khám phá
      • SBT Toán - Kết nối tri thức
      • SBT Toán - Cánh diều
      • SBT Toán - Chân trời sáng tạo
      • Chuyên đề học tập Toán - Kết nối tri thức
      • >> Xem thêm
    • Tiếng Anh 12
      • Tiếng Anh - Global Success
      • Tiếng Anh - Friends Global
      • Tiếng Anh - iLearn Smart World
      • Tiếng Anh - Bright
      • Tiếng Anh - English Discovery
      • SBT Global Success
      • SBT Friends Global
      • SBT iLearn Smart World
      • >> Xem thêm
    • Vật lí 12
      • SGK Vật Lí - Kết nối tri thức
      • SGK Vật Lí - Cánh diều
      • SGK Vật Lí - Chân trời sáng tạo
      • SBT Vật lí - Kết nối tri thức
      • SBT Vật lí - Cánh diều
      • SBT Vật lí - Chân trời sáng tạo
      • Chuyên đề học tập Lí - Kết nối tri thức
      • Chuyên đề học tập Lí - Cánh diều
      • >> Xem thêm
    • Hóa học 12
      • SGK Hóa - Kết nối tri thức
      • SGK Hóa - Cánh diều
      • SGK Hóa - Chân trời sáng tạo
      • SBT Hóa - Kết nối tri thức
      • SBT Hóa - Cánh diều
      • SBT Hóa - Chân trời sáng tạo
      • Chuyên đề học tập Hóa - Kết nối tri thức
      • Chuyên đề học tập Hóa - Cánh diều
      • >> Xem thêm
    • Sinh học 12
      • SGK Sinh - Kết nối tri thức
      • SGK Sinh - Cánh diều
      • SGK Sinh - Chân trời sáng tạo
      • Trắc nghiệm Sinh - Kết nối tri thức
      • Trắc nghiệm Sinh - Cánh diều
      • Trắc nghiệm Sinh - Chân trời sáng tạo
      • Chuyên đề học tập Sinh - Kết nối tri thức
      • Chuyên đề học tập Sinh - Cánh diều
      • >> Xem thêm
    • Lịch sử 12
      • SGK Lịch sử - Kết nối tri thức
      • SGK Lịch sử - Chân trời sáng tạo
      • SGK Lịch sử - Cánh diều
      • SBT Lịch sử - Cánh diều
      • Đề thi, đề kiểm tra Lịch sử - Kết nối tri thức
      • Đề thi, đề kiểm tra Lịch sử - Chân trời sáng tạo
      • Đề thi, đề kiểm tra Lịch sử - Cánh diều
      • Chuyên đề học tập Lịch sử - Kết nối tri thức
      • >> Xem thêm
    • Địa lí 12
      • SGK Địa lí - Kết nối tri thức
      • SGK Địa lí - Chân trời sáng tạo
      • SGK Địa lí - Cánh diều
      • SBT Địa lí - Cánh diều
      • Đề thi, đề kiểm tra Địa lí - Kết nối tri thức
      • Đề thi, đề kiểm tra Địa lí - Chân trời sáng tạo
      • Đề thi, đề kiểm tra Địa lí - Cánh diều
      • SBT Địa lí - Chân trời sáng tạo
      • >> Xem thêm
    • GD kinh tế và pháp luật 12
      • SGK Giáo dục kinh tế và pháp luật - Kết nối tri thức
      • SGK Giáo dục kinh tế và pháp luật - Chân trời sáng tạo
      • SGK Giáo dục kinh tế và pháp luật - Cánh diều
      • SBT Giáo dục kinh tế và pháp luật - Cánh diều
      • SBT Giáo dục kinh tế và pháp luật - Chân trời sáng tạo
      • Chuyên đề học tập Giáo dục kinh tế pháp luật - Kết nối tri thức
      • Chuyên đề học tập Giáo dục kinh tế pháp luật - Cánh diều
      • Chuyên đề học tập Giáo dục kinh tế pháp luật - Chân trời sáng tạo
    • Công nghệ 12
      • SGK Công nghệ - Kết nối tri thức
      • SGK Công nghệ - Cánh diều
      • Chuyên đề học tập Công nghệ - Kết nối tri thức
      • Chuyên đề học tập Công nghệ - Cánh diều
    • Tin học 12
      • SGK Tin học - Cánh diều
      • SGK Tin học - Chân trời sáng tạo
      • SGK Tin học - Kết nối tri thức
      • SBT Tin học - Kết nối tri thức
      • SBT Tin học - Cánh diều
      • SBT Tin học - Chân trời sáng tạo
      • Chuyên đề học tập Tin - Kết nối tri thức
      • Chuyên đề học tập Tin - Chân trời sáng tạo
      • >> Xem thêm
    • HĐ trải nghiệm, hướng nghiệp 12
      • SGK Hoạt động trải nghiệm, hướng nghiệp - Kết nối tri thức
      • SGK Hoạt động trải nghiệm, hướng nghiệp - Cánh diều
      • SGK Hoạt động trải nghiệm, hướng nghiệp - Chân trời sáng tạo Bản 1
      • SGK Hoạt động trải nghiệm, hướng nghiệp - Chân trời sáng tạo Bản 2
    • GD Quốc phòng và An ninh 12
      • SGK Giáo dục quốc phòng và an ninh - Kết nối tri thức
      • SGK Giáo dục quốc phòng và an ninh - Cánh diều
    • Giáo dục thể chất 12
      • SGK Giáo dục thể chất - Kết nối tri thức
      • SGK Giáo dục thể chất - Cánh diều
    • Giáo dục địa phương 12
      • Tài liệu Giáo dục địa phương
    • Đề thi, đề kiểm tra 12
      • Tổng hợp đề thi, đề kiểm tra
  • Lớp 11
    • Ngữ văn 11
      • Soạn văn - Kết nối tri thức - chi tiết
      • Soạn văn - Kết nối tri thức - siêu ngắn
      • Soạn văn - Cánh Diều - chi tiết
      • Soạn văn - Cánh Diều - siêu ngắn
      • Soạn văn - Chân trời sáng tạo - chi tiết
      • Soạn văn - Chân trời sáng tạo - siêu ngắn
      • Tác giả tác phẩm
      • Tóm tắt, bố cục Văn - Kết nối tri thức
      • >> Xem thêm
    • Toán học 11
      • SGK Toán - Kết nối tri thức
      • SGK Toán - Cánh diều
      • SGK Toán - Chân trời sáng tạo
      • SGK Toán - Cùng khám phá
      • Chuyên đề học tập Toán - Kết nối tri thức
      • Chuyên đề học tập Toán - Cánh diều
      • Chuyên đề học tập Toán - Chân trời sáng tạo
      • SBT Toán - Kết nối tri thức
      • >> Xem thêm
    • Tiếng Anh 11
      • Tiếng Anh - Global Success
      • Tiếng Anh - Friends Global
      • Tiếng Anh - iLearn Smart Wolrd
      • Tiếng Anh - Bright
      • Tiếng Anh - English Discovery
      • SBT Global Success
      • SBT Friends Global
      • SBT iLearn Smart World
      • >> Xem thêm
    • Vật lí 11
      • SGK Vật Lí - Kết nối tri thức
      • SGK Vật Lí - Cánh diều
      • SGK Vật Lí - Chân trời sáng tạo
      • Chuyên đề học tập Lí - Kết nối tri thức
      • Chuyên đề học tập Lí - Cánh diều
      • Chuyên đề học tập Lí - Chân trời sáng tạo
      • SBT Vật lí - Kết nối tri thức
      • SBT Vật lí - Cánh diều
      • >> Xem thêm
    • Hóa học 11
      • SGK Hóa học - Kết nối tri thức
      • SGK Hóa học - Cánh diều
      • SGK Hóa học - Chân trời sáng tạo
      • Chuyên đề học tập Hóa - Kết nối tri thức
      • Chuyên đề học tập Hóa - Cánh diều
      • Chuyên đề học tập Hóa - Chân trời sáng tạo
      • SBT Hóa - Kết nối tri thức
      • SBT Hóa - Cánh diều
      • >> Xem thêm
    • Sinh học 11
      • SGK Sinh - Kết nối tri thức
      • SGK Sinh - Cánh diều
      • SGK Sinh - Chân trời sáng tạo
      • Chuyên đề học tập Sinh - Kết nối tri thức
      • Chuyên đề học tập Sinh - Cánh diều
      • Chuyên đề học tập Sinh - Chân trời sáng tạo
      • SBT Sinh - Kết nối tri thức
      • SBT Sinh - Cánh diều
      • >> Xem thêm
    • HĐ trải nghiệm, hướng nghiệp 11
      • SBT Hoạt động trải nghiệm - Kết nối tri thức
      • SGK Hoạt động trải nghiệm, hướng nghiệp - Kết nối tri thức
      • SGK Hoạt động trải nghiệm, hướng nghiệp - Cánh diều
      • SGK Hoạt động trải nghiệm, hướng nghiệp - Chân trời sáng tạo Bản 1
      • SGK Hoạt động trải nghiệm, hướng nghiệp - Chân trời sáng tạo Bản 2
      • SBT Hoạt động trải nghiệm - Cánh diều
      • SBT Hoạt động trải nghiệm - Chân trời sáng tạo (Bản 1)
      • SBT Hoạt động trải nghiệm - Chân trời sáng tạo (Bản 2)
    • Lịch sử 11
      • SGK Lịch sử - Kết nối tri thức
      • SGK Lịch sử - Chân trời sáng tạo
      • SGK Lịch sử - Cánh diều
      • SBT Lịch sử - Kết nối tri thức
      • SBT Lịch sử - Chân trời sáng tạo
      • SBT Lịch sử - Cánh diều
      • Đề thi, đề kiểm tra Lịch sử - Kết nối tri thức
      • Đề thi, đề kiểm tra Lịch sử - Chân trời sáng tạo
      • >> Xem thêm
    • Địa lí 11
      • SGK Địa lí - Kết nối tri thức
      • SGK Địa lí - Chân trời sáng tạo
      • SGK Địa lí - Cánh diều
      • SBT Địa lí - Kết nối tri thức
      • SBT Địa lí - Chân trời sáng tạo
      • SBT Địa lí - Cánh diều
      • Đề thi, đề kiểm tra Địa lí - Kết nối tri thức
      • Đề thi, đề kiểm tra Địa lí - Chân trời sáng tạo
      • >> Xem thêm
    • GD kinh tế và pháp luật 11
      • SGK Giáo dục kinh tế và pháp luật - Kết nối tri thức
      • SGK Giáo dục kinh tế và pháp luật - Chân trời sáng tạo
      • SGK Giáo dục kinh tế và pháp luật - Cánh diều
      • SBT Giáo dục kinh tế và pháp luật - Kết nối tri thức
      • SBT Giáo dục kinh tế và pháp luật - Chân trời sáng tạo
      • SBT Giáo dục kinh tế và pháp luật - Cánh diều
      • Chuyên đề học tập Giáo dục kinh tế pháp luật - Kết nối tri thức
      • Chuyên đề học tập Giáo dục kinh tế pháp luật - Chân trời sáng tạo
      • >> Xem thêm
    • Công nghệ 11
      • SGK Công nghệ - Kết nối tri thức
      • SGK Công nghệ - Cánh diều
    • Tin học 11
      • SGK Tin học - Kết nối tri thức
      • SGK Tin học - Cánh diều
      • SBT Tin học - Kết nối tri thức
      • SBT Tin học - Cánh diều
      • Chuyên đề học tập Tin - Kết nối tri thức
      • Chuyên đề học tập Tin - Cánh diều
    • Giáo dục thể chất 11
      • SGK Giáo dục thể chất - Kết nối tri thức
      • SGK Giáo dục thể chất - Cánh diều
    • GD Quốc phòng và An ninh 11
      • SGK Giáo dục quốc phòng và an ninh - Kết nối tri thức
      • SGK Giáo dục quốc phòng và an ninh - Cánh diều
    • Giáo dục địa phương 11
      • Tài liệu Giáo dục địa phương
    • Đề thi, đề kiểm tra 11
      • Tổng hợp đề thi, đề kiểm tra
  • Lớp 10
    • Ngữ văn 10
      • Soạn văn - Kết nối tri thức - siêu ngắn
      • Soạn văn - Kết nối tri thức - chi tiết
      • Soạn văn - Chân trời sáng tạo - siêu ngắn
      • Soạn văn - Chân trời sáng tạo - chi tiết
      • Soạn văn - Cánh Diều - siêu ngắn
      • Soạn văn - Cánh Diều - chi tiết
      • Tác giả tác phẩm
      • Tóm tắt, bố cục Văn - Kết nối tri thức
      • >> Xem thêm
    • Toán học 10
      • SGK Toán - Kết nối tri thức
      • SGK Toán - Chân trời sáng tạo
      • SGK Toán - Cánh diều
      • SBT Toán - Kết nối tri thức
      • SBT Toán - Chân trời sáng tạo
      • SBT Toán - Cánh diều
      • Chuyên đề học tập Toán - Kết nối tri thức
      • Chuyên đề học tập Toán - Chân trời sáng tạo
      • >> Xem thêm
    • Tiếng Anh 10
      • Tiếng Anh - Global Success
      • Tiếng Anh - Friends Global
      • Tiếng Anh - iLearn Smart World
      • Tiếng Anh - English Discovery
      • Tiếng Anh - Bright
      • Tiếng Anh - Explore New Worlds
      • SBT Global Success
      • SBT Friends Global
      • >> Xem thêm
    • Vật lí 10
      • SGK Vật Lí - Kết nối tri thức
      • SGK Vật Lí - Chân trời sáng tạo
      • SGK Vật Lí - Cánh diều
      • SBT Vật lí - Kết nối tri thức
      • SBT Vật lí - Chân trời sáng tạo
      • SBT Vật lí - Cánh diều
      • Trắc nghiệm Lí - Kết nối tri thức
      • Bài tập trắc nghiệm Lí - Kết nối tri thức
      • >> Xem thêm
    • Hóa học 10
      • SGK Hóa - Kết nối tri thức
      • SGK Hóa - Chân trời sáng tạo
      • SGK Hóa - Cánh diều
      • SBT Hóa - Kết nối tri thức
      • SBT Hóa - Chân trời sáng tạo
      • SBT Hóa 10 - Cánh diều
      • Chuyên đề học tập Hóa - Kết nối tri thức
      • Chuyên đề học tập Hóa 10 – Chân trời sáng tạo
      • >> Xem thêm
    • Sinh học 10
      • SGK Sinh - Kết nối tri thức
      • SGK Sinh - Chân trời sáng tạo
      • SGK Sinh - Cánh diều
      • SBT Sinh - Kết nối tri thức
      • SBT Sinh - Chân trời sáng tạo
      • SBT Sinh - Cánh diều
      • Chuyên đề học tập Sinh - Kết nối tri thức
      • Chuyên đề học tập Sinh - Chân trời sáng tạo
      • >> Xem thêm
    • Lịch sử 10
      • SGK Lịch sử - Kết nối tri thức
      • SGK Lịch sử - Chân trời sáng tạo
      • SGK Lịch sử - Cánh Diều
      • SBT Lịch sử - Kết nối tri thức
      • SBT Lịch sử - Chân trời sáng tạo
      • SBT Lịch sử - Cánh Diều
      • Chuyên đề học tập Lịch sử - Kết nối tri thức
      • Trắc nghiệm Sử - kết nối tri thức
      • >> Xem thêm
    • Địa lí 10
      • SGK Địa lí - Kết nối tri thức
      • SGK Địa lí - Cánh Diều
      • SGK Địa lí - Chân trời sáng tạo
      • SBT Địa lí - Kết nối tri thức
      • SBT Địa lí - Chân trời sáng tạo
      • Trắc nghiệm Địa lí - Kết nối tri thức
      • Trắc nghiệm Địa lí - Chân trời sáng tạo
      • Trắc nghiệm Địa lí - Cánh Diều
      • >> Xem thêm
    • Tin học 10
      • SGK Tin học - Kết nối tri thức
      • SGK Tin học - Cánh Diều
      • SBT Tin học - Kết nối tri thức
      • SBT Tin học 10 - Cánh diều
    • Công nghệ 10
      • SGK Công nghệ - Kết nối tri thức
      • SGK Công nghệ - Cánh diều
      • Chuyên đề học tập Công nghệ - Kết nối tri thức
      • Chuyên đề học tập Công nghệ - Cánh diều
    • GD kinh tế và pháp luật 10
      • SGK Giáo dục kinh tế và pháp luật - KNTT
      • SGK Giáo dục kinh tế và pháp luật - CTST
      • SGK Giáo dục kinh tế và pháp luật - Cánh diều
      • SBT Giáo dục kinh tế và pháp luật - Kết nối tri thức
      • SBT Giáo dục kinh tế và pháp luật - Chân trời sáng tạo
      • SBT Giáo dục kinh tế và pháp luật - Cánh diều
      • Chuyên đề học tập Giáo dục kinh tế pháp luật - Kết nối tri thức
      • Chuyên đề học tập Giáo dục kinh tế pháp luật - Chân trời sáng tạo
      • >> Xem thêm
    • HĐ trải nghiệm, hướng nghiệp 10
      • SGK Hoạt động trải nghiệm, hướng nghiệp - Kết nối tri thức
      • SGK Hoạt động trải nghiệm, hướng nghiệp - Chân trời sáng tạo
      • SGK Hoạt động trải nghiệm, hướng nghiệp - Cánh Diều
      • SBT Hoạt động trải nghiệm - Kết nối tri thức
      • SBT Hoạt động trải nghiệm - Cánh diều
      • SBT Hoạt động trải nghiệm - Chân trời sáng tạo (Bản 1)
      • SBT Hoạt động trải nghiệm - Chân trời sáng tạo (Bản 2)
    • Giáo dục thể chất 10
      • SGK Giáo dục thể chất - Kết nối tri thức
      • SGK Giáo dục thể chất - Cánh diều
    • GD Quốc phòng và An ninh 10
      • SGK Giáo dục quốc phòng và an ninh - Kết nối tri thức
      • SGK Giáo dục quốc phòng và an ninh - Cánh diều
    • Giáo dục địa phương 10
      • Tài liệu Giáo dục địa phương
    • Đề thi, đề kiểm tra 10
      • Tổng hợp đề thi, đề kiểm tra
  • Lớp 9
    • Toán học 9
      • SGK Toán - Kết nối tri thức
      • SGK Toán - Chân trời sáng tạo
      • SGK Toán - Cánh diều
      • SGK Toán - Cùng khám phá
      • SBT Toán - Kết nối tri thức
      • SBT Toán - Chân trời sáng tạo
      • SBT Toán - Cánh diều
      • Vở thực hành Toán
      • >> Xem thêm
    • Ngữ văn 9
      • Soạn văn - Kết nối tri thức
      • Soạn văn - Chân trời sáng tạo
      • Soạn văn - Cánh diều
      • Tác giả - Tác phẩm văn
      • Tóm tắt, bố cục Văn - Kết nối tri thức
      • Tóm tắt, bố cục Văn - Chân trời sáng tạo
      • Tóm tắt, bố cục Văn - Cánh diều
      • SBT Văn - Kết nối tri thức
      • >> Xem thêm
    • Tiếng Anh 9
      • Tiếng Anh - Global Success
      • Tiếng Anh - Friends Plus
      • Tiếng Anh - iLearn Smart World
      • Tiếng Anh - Right on!
      • Tiếng Anh - English Discovery
      • SBT Global Success
      • SBT Friends Plus
      • SBT iLearn Smart World
      • >> Xem thêm
    • Khoa học tự nhiên 9
      • SGK Khoa học tự nhiên - Kết nối tri thức
      • SGK Khoa học tự nhiên - Cánh diều
      • SGK Khoa học tự nhiên 9 Chân trời sáng tạo
      • SBT KHTN - Kết nối tri thức
      • SBT KHTN - Cánh diều
      • SBT KHTN - Chân trời sáng tạo
      • Trắc nghiệm KHTN - Kết nối tri thức
      • Trắc nghiệm KHTN - Cánh diều
      • >> Xem thêm
    • Lịch sử và Địa lí 9
      • SGK Lịch sử và Địa lí - Kết nối tri thức
      • SGK Lịch sử và Địa lí - Cánh diều
      • SGK Lịch sử và Địa lí - Chân trời sáng tạo
      • SBT Lịch sử - Cánh diều
      • SBT Địa lí - Kết nối tri thức
      • SBT Địa lí - Chân trời sáng tạo
      • SBT Đia lí - Cánh diều
      • Đề thi, kiểm tra Lịch Sử và Địa lí - Kết nối tri thức
      • >> Xem thêm
    • GDCD 9
      • Giáo dục công dân - Kết nối tri thức
      • Giáo dục công dân - Chân trời sáng tạo
      • Giáo dục công dân - Cánh diều
      • SBT GDCD - Chân trời sáng tạo
      • SBT GDCD - Cánh diều
    • Tin học 9
      • SGK Tin học - Kết nối tri thức
      • SGK Tin học - Cánh diều
      • SGK Tin học - Chân trời sáng tạo
      • SBT Tin học - Kết nối tri thức
      • SBT Tin học - Chân trời sáng tạo
      • SBT Tin học - Cánh diều
    • Công nghệ 9
      • SGK Công nghệ - Kết nối tri thức
      • SGK Công nghệ - Chân trời sáng tạo
      • SGK Công nghệ - Cánh diều
      • SBT Công nghệ - Cánh diều
    • HĐ trải nghiệm, hướng nghiệp 9
      • SGK Hoạt động trải nghiệm, hướng nghiệp - Kết nối tri thức
      • SGK Hoạt động trải nghiệm, hướng nghiệp - Cánh diều
      • SGK Hoạt động trải nghiệm, hướng nghiệp - Chân trời sáng tạo Bản 1
      • SGK Hoạt động trải nghiệm, hướng nghiệp - Chân trời sáng tạo Bản 2
    • Giáo dục địa phương 9
      • Tài liệu Giáo dục địa phương
    • Đề thi, đề kiểm tra 9
      • Tổng hợp đề thi, đề kiểm tra
      • Tổng hợp đề thi vào 10
  • Lớp 8
    • Ngữ văn 8
      • Soạn văn chi tiết - KNTT
      • Soạn văn siêu ngắn - KNTT
      • Soạn văn chi tiết - CTST
      • Soạn văn siêu ngắn - CTST
      • Soạn văn chi tiết - Cánh diều
      • Soạn văn siêu ngắn - Cánh diều
      • Tác giả - Tác phẩm văn
      • Tóm tắt, bố cục Văn - Kết nối tri thức
      • >> Xem thêm
    • Toán học 8
      • SGK Toán - Kết nối tri thức
      • SGK Toán - Chân trời sáng tạo
      • SGK Toán - Cánh diều
      • SGK Toán - Cùng khám phá
      • SBT Toán - Kết nối tri thức
      • SBT Toán - Chân trời sáng tạo
      • SBT Toán - Cánh diều
      • Vở thực hành Toán
      • >> Xem thêm
    • Tiếng Anh 8
      • Tiếng Anh - Global Success
      • Tiếng Anh - Friends Plus
      • Tiếng Anh - iLearn Smart World
      • Tiếng Anh - Right on!
      • Tiếng Anh - English Discovery
      • SBT Global Success
      • SBT Friends Plus
      • SBT iLearn Smart World
      • >> Xem thêm
    • Khoa học tự nhiên 8
      • SGK Khoa học tự nhiên - Kết nối tri thức
      • SGK Khoa học tự nhiên - Chân trời sáng tạo
      • SGK Khoa học tự nhiên - Cánh diều
      • SBT KHTN - Kết nối tri thức
      • SBT KHTN - Cánh diều
      • Vở thực hành Khoa học tự nhiên
      • Đề thi, đề kiểm tra KHTN - Kết nối tri thức
      • Đề thi, đề kiểm tra KHTN - Cánh diều
      • >> Xem thêm
    • Lịch sử và Địa lí 8
      • SGK Lịch sử và Địa lí - Kết nối tri thức
      • SGK Lịch sử và Địa lí - Cánh diều
      • SGK Lịch sử và Địa lí - Chân trời sáng tạo
      • SBT Lịch sử - Kết nối tri thức
      • SBT Địa lí - Kết nối tri thức
      • SBT Lịch sử - Chân trời sáng tạo
      • SBT Địa lí - Chân trời sáng tạo
      • SBT Lịch sử - Cánh diều
      • >> Xem thêm
    • GDCD 8
      • Giáo dục công dân - Kết nối tri thức
      • Giáo dục công dân - Chân trời sáng tạo
      • Giáo dục công dân - Cánh diều
      • SBT GDCD - Kết nối tri thức
      • SBT GDCD - Chân trời sáng tạo
      • SBT GDCD - Cánh diều
    • Công nghệ 8
      • SGK Công nghệ - Kết nối tri thức
      • SGK Công nghệ - Chân trời sáng tạo
      • SGK Công nghệ - Cánh diều
      • SBT Công nghệ - Kết nối tri thức
      • SBT Công nghệ - Chân trời sáng tạo
      • SBT Công nghệ - Cánh diều
    • Tin học 8
      • SGK Tin học - Kết nối tri thức
      • SGK Tin học - Chân trời sáng tạo
      • SGK Tin học - Cánh diều
      • SBT Tin học - Kết nối tri thức
      • SBT Tin học - Chân trời sáng tạo
      • SBT Tin học - Cánh diều
    • HĐ trải nghiệm, hướng nghiệp 8
      • SGK Hoạt động trải nghiệm, hướng nghiệp - Kết nối tri thức
      • SGK Hoạt động trải nghiệm, hướng nghiệp - Cánh diều
      • SGK Hoạt động trải nghiệm, hướng nghiệp - Chân trời sáng tạo Bản 1
      • SGK Hoạt động trải nghiệm, hướng nghiệp - Chân trời sáng tạo Bản 2
      • SBT Hoạt động trải nghiệm - Kết nối tri thức
      • SBT Hoạt động trải nghiệm - Cánh diều
      • SBT Hoạt động trải nghiệm - Chân trời sáng tạo (Bản 1)
      • SBT Hoạt động trải nghiệm - Chân trời sáng tạo (Bản 2)
    • Âm nhạc 8
      • SGK Âm nhạc - Kết nối tri thức
      • SGK Âm nhạc - Chân trời sáng tạo
      • SGK Âm nhạc - Cánh diều
    • Mỹ thuật 8
      • SGK Mĩ thuật - Kết nối tri thức
      • SGK Mĩ thuật - Chân trời sáng tạo bản 1
      • SGK Mĩ thuật - Cánh diều
      • SGK Mĩ thuật - Chân trời sáng tạo bản 2
    • Giáo dục thể chất 8
      • SGK Giáo dục thể chất - Kết nối tri thức
      • SGK Giáo dục thể chất - Cánh diều
      • SGK Giáo dục thể chất - Chân trời sáng tạo
    • Giáo dục địa phương 8
      • Đề thi, đề kiểm tra Giáo dục địa phương
      • Tài liệu Giáo dục địa phương
    • Đề thi, đề kiểm tra 8
      • Tổng hợp đề thi, đề kiểm tra
  • Lớp 7
    • Ngữ văn 7
      • Soạn văn siêu ngắn - KNTT
      • Soạn văn chi tiết - KNTT
      • Soạn văn siêu ngắn - CTST
      • Soạn văn chi tiết - CTST
      • Soạn văn siêu ngắn - Cánh diều
      • Soạn văn chi tiết - Cánh diều
      • Tác giả - Tác phẩm văn
      • Tóm tắt, bố cục Văn - Kết nối tri thức
      • >> Xem thêm
    • Toán học 7
      • SGK Toán - Kết nối tri thức
      • SGK Toán - Chân trời sáng tạo
      • SGK Toán - Cánh diều
      • SBT Toán - Kết nối tri thức
      • SBT Toán - Chân trời sáng tạo
      • SBT Toán - Cánh diều
      • Trắc nghiệm Toán - Kết nối tri thức
      • Trắc nghiệm Toán- Chân trời sáng tạo
      • >> Xem thêm
    • Tiếng Anh 7
      • Tiếng Anh - Global Success
      • Tiếng Anh - Friends Plus
      • Tiếng Anh - iLearn Smart World
      • Tiếng Anh - English Discovery
      • Tiếng Anh - Right on!
      • SBT Global Success
      • SBT Friends Plus
      • SBT iLearn Smart World
      • >> Xem thêm
    • Khoa học tự nhiên 7
      • SGK Khoa học tự nhiên - Kết nối tri thức
      • SGK Khoa học tự nhiên - Chân trời sáng tạo
      • SGK Khoa học tự nhiên - Cánh diều
      • SBT KHTN - Kết nối tri thức
      • SBT KHTN - Chân trời sáng tạo
      • SBT KHTN - Cánh diều
      • Trắc nghiệm KHTN - Kết nối tri thức
      • Bài tập trắc nghiệm Khoa học tự nhiên - Kết nối tri thức
      • >> Xem thêm
    • Lịch sử và Địa lí 7
      • SGK Lịch sử và Địa lí - Kết nối tri thức
      • SGK Lịch sử và Địa lí - Chân trời sáng tạo
      • SGK Lịch sử và Địa lí - Cánh Diều
      • SBT Lịch sử và Địa lí - Kết nối tri thức
      • SBT Lịch sử và Địa lí - Chân trời sáng tạo
      • SBT Lịch sử và Địa lí - Cánh diều
      • Trắc nghiệm Lịch sử và Địa lí - Kết nối tri thức
      • Trắc nghiệm Lịch sử và Địa lí - Chân trời sáng tạo
      • >> Xem thêm
    • Tin học 7
      • SGK Tin học - Kết nối tri thức
      • SGK Tin học - Cánh Diều
      • SGK Tin học - Chân trời sáng tạo
      • SBT Tin học - Kết nối tri thức
      • SBT Tin học - Chân trời sáng tạo
      • SBT Tin học - Cánh diều
    • Công nghệ 7
      • SGK Công nghệ - Kết nối tri thức
      • SGK Công nghệ - Chân trời sáng tạo
      • SGK Công nghệ - Cánh diều
      • SBT Công nghệ - Kết nối tri thức
      • SBT Công nghệ - Chân trời sáng tạo
      • SBT Công nghệ - Cánh diều
    • GDCD 7
      • SGK GDCD - KNTT
      • SGK GDCD - CTST
      • SGK GDCD - Cánh diều
      • Bài tập tình huống GDCD
      • SBT GDCD - Kết nối tri thức
      • SBT GDCD - Chân trời sáng tạo
      • SBT GDCD - Cánh diều
    • HĐ trải nghiệm, hướng nghiệp 7
      • SBT Hoạt động trải nghiệm - Chân trời sáng tạo (Bản 1)
      • SGK Hoạt động trải nghiệm, hướng nghiệp - Kết nối tri thức
      • SGK Hoạt động trải nghiệm, hướng nghiệp - Cánh Diều
      • SGK Hoạt động trải nghiệm, hướng nghiệp - Chân trời sáng tạo
      • SBT Hoạt động trải nghiệm - Cánh diều
      • SBT Hoạt động trải nghiệm - Kết nối tri thức
      • SBT Hoạt động trải nghiệm - Chân trời sáng tạo (Bản 2)
    • Âm nhạc 7
      • Âm nhạc - Kết nối tri thức
      • Âm nhạc - Chân trời sáng tạo
      • Âm nhạc - Cánh diều
    • Giáo dục địa phương 7
      • Đề thi, đề kiểm tra Giáo dục địa phương 7
      • Tài liệu Giáo dục địa phương
    • Đề thi, đề kiểm tra 7
      • Tổng hợp đề thi, đề kiểm tra
  • Lớp 6
    • Ngữ văn 6
      • Soạn văn siêu ngắn - KNTT
      • Soạn văn chi tiết - KNTT
      • Soạn văn siêu ngắn - CTST
      • Soạn văn chi tiết - CTST
      • Soạn văn siêu ngắn - Cánh diều
      • Soạn văn chi tiết - Cánh diều
      • Tác giả - Tác phẩm văn
      • Tóm tắt, bố cục Văn - Kết nối tri thức
      • >> Xem thêm
    • Toán học 6
      • SGK Toán - Kết nối tri thức
      • SGK Toán - Chân trời sáng tạo
      • SGK Toán - Cánh diều
      • SBT Toán - Kết nối tri thức
      • SBT Toán - Chân trời sáng tạo
      • SBT Toán - Cánh diều
      • Trắc nghiệm Toán - Kết nối tri thức
      • Trắc nghiệm Toán - Chân trời sáng tạo
      • >> Xem thêm
    • Tiếng Anh 6
      • Global Success (Pearson)
      • Tiếng Anh - Friends plus
      • Tiếng Anh - iLearn Smart World
      • Tiếng Anh - Right on
      • Tiếng Anh - English Discovery
      • Tiếng Anh - Explore English
      • SBT Global Success
      • SBT Friends Plus
      • >> Xem thêm
    • Khoa học tự nhiên 6
      • SGK KHTN - Kết nối tri thức
      • SGK KHTN - Chân trời sáng tạo
      • SGK KHTN - Cánh Diều
      • SBT KHTN - Kết nối tri thức
      • SBT KHTN - Chân trời sáng tạo
      • SBT KHTN - Cánh Diều
      • Trắc nghiệm KHTN - Kết nối tri thức
      • Trắc nghiệm KHTN - Chân trời sáng tạo
      • >> Xem thêm
    • Lịch sử và Địa lí 6
      • SGK Lịch sử và Địa lí - KNTT
      • SGK Lịch sử và Địa lí - CTST
      • SGK Lịch sử và Địa lí - Cánh Diều
      • SBT Lịch sử và Địa lí - KNTT
      • SBT Lịch sử và Địa lí - CTST
      • SBT Lịch sử và Địa lí - Cánh diều
      • Trắc nghiệm Lịch sử và Địa Lí - KNTT
      • Trắc nghiệm Lịch Sử và Địa Lí - CTST
      • >> Xem thêm
    • GDCD 6
      • SGK GDCD - KNTT
      • SGK GDCD - CTST
      • SGK GDCD - Cánh Diều
      • SBT GDCD - Kết nối tri thức
      • SBT GDCD - Chân trời sáng tạo
      • SBT GDCD - Cánh diều
    • Công nghệ 6
      • Công nghệ - Kết nối tri thức
      • Công nghệ - Cánh Diều
      • Công nghệ - Chân trời sáng tạo
      • SBT Công nghệ - Kết nối tri thức
      • SBT Công nghệ - Cánh diều
      • SBT Công nghệ - Chân trời sáng tạo
    • Tin học 6
      • Tin học - Kết nối tri thức + chân trời sáng tạo
      • Tin học - Cánh Diều
      • SBT Tin học - Kết nối tri thức
      • SBT Tin học - Cánh Diều
    • HĐ trải nghiệm, hướng nghiệp 6
      • SGK Trải nghiệm, hướng nghiệp - Kết nối tri thức
      • SGK Trải nghiệm, hướng nghiệp - Chân trời sáng tạo
      • SGK Trải nghiệm, hướng nghiệp - Cánh diều
      • SBT Trải nghiệm, hướng nghiệp - Kết nối tri thức
      • SBT Trải nghiệm, hướng nghiệp - Chân trời sáng tạo
      • Thực hành Trải nghiệm, hướng nghiệp - Cánh diều
    • Âm nhạc 6
      • Âm nhạc - Kết nối tri thức
      • Âm nhạc - Cánh Diều
      • Âm nhạc: Chân trời sáng tạo
    • Mỹ thuật 6
      • Mĩ thuật - Kết nối tri thức
      • Mĩ thuật - Chân trời sáng tạo
      • Mĩ thuật - Cánh diều
    • Giáo dục địa phương 6
      • Đề thi, đề kiểm tra Giáo dục địa phương
      • Tài liệu Giáo dục địa phương
    • Đề thi, đề kiểm tra 6
      • Tổng hợp đề thi, đề kiểm tra
  • Lớp 5
    • Toán học 5
      • SGK Toán - Kết nối tri thức
      • SGK Toán - Chân trời sáng tạo
      • SGK Toán - Cánh diều
      • SGK Toán - Bình Minh
      • VBT Toán - Kết nối tri thức
      • VBT Toán - Cánh diều
      • Trắc nghiệm Toán - Kết nối tri thức
      • Trắc nghiệm Toán - Chân trời sáng tạo
      • >> Xem thêm
    • Tiếng việt 5
      • Tiếng Việt - Kết nối tri thức
      • Tiếng Việt - Chân trời sáng tạo
      • Tiếng Việt - Cánh diều
      • VBT Tiếng Việt - Kết nối tri thức
      • VBT Tiếng Việt - Chân trời sáng tạo
      • VBT Tiếng Việt - Cánh diều
      • Văn mẫu lớp 5
      • Đề thi, đề kiểm tra Tiếng Việt - Kết nối tri thức
      • >> Xem thêm
    • Tiếng Anh 5
      • Tiếng Anh - Global Success
      • Tiếng Anh - Family and Friends
      • Tiếng Anh - iLearn Smart Start
      • Tiếng Anh - Explore Our World
      • Tiếng Anh - Phonics Smart
      • SBT Tiếng Anh - Global Success
      • SBT Tiếng Anh - Family and Friends
      • SBT Tiếng Anh - iLearn Smart Start
      • >> Xem thêm
    • Lịch sử và Địa lí 5
      • SGK Lịch sử và Địa lí - Kết nối tri thức
      • SGK Lịch sử và Địa lí - Cánh diều
      • SGK Lịch sử và Địa lí - Chân trời sáng tạo
      • VBT Lịch sử và Địa lí - Kết nối tri thức
      • VBT Lịch sử và Địa lí - Cánh diều
      • Đề thi, đề kiểm tra Lịch sử và Địa lí - Kết nối tri thức
      • Đề thi, đề kiểm tra Lịch sử và Địa lí - Chân trời sáng tạo
      • Đề thi, đề kiểm tra Lịch sử và Địa lí - Cánh diều
    • Khoa học 5
      • SGK Khoa học - Kết nối tri thức
      • SGK Khoa học - Chân trời sáng tạo
      • SGK Khoa học - Cánh diều
      • VBT Khoa học - Kết nối tri thức
      • VBT Khoa học - Chân trời sáng tạo
      • VBT Khoa học - Cánh diều
    • Đạo đức 5
      • SGK Đạo đức - Kết nối tri thức
      • SGK Đạo đức - Chân trời sáng tạo
      • SGK Đạo đức - Cánh diều
      • VBT Đạo đức - Kết nối tri thức
      • VBT Đạo đức - Chân trời sáng tạo
      • VBT Đạo đức - Cánh diều
    • Tin học 5
      • SGK Tin học - Cánh diều
      • SGK Tin học - Kết nối tri thức
      • SGK Tin học - Chân trời sáng tạo
      • VBT Tin học - Kết nối tri thức
      • VBT Tin học - Chân trời sáng tạo
      • VBT Tin học - Cánh diều
    • HĐ trải nghiệm, hướng nghiệp 5
      • SGK Hoạt động trải nghiệm - Kết nối tri thức
      • SGK Hoạt động trải nghiệm - Cánh diều
      • SGK Hoạt động trải nghiệm - Chân trời sáng tạo Bản 1
      • SGK Hoạt động trải nghiệm - Chân trời sáng tạo Bản 2
      • VBT Hoạt động trải nghiệm - Kết nối tri thức
      • VBT Hoạt động trải nghiệm - Cánh diều
      • VBT Hoạt động trải nghiệm - Chân trời sáng tạo (Bản 1)
      • VBT Hoạt động trải nghiệm - Chân trời sáng tạo (Bản 2)
    • Công nghệ 5
      • SGK Công nghệ - Kết nối tri thức
      • SGK Công nghệ - Chân trời sáng tạo
      • SGK Công nghệ - Cánh diều
      • VBT Công nghệ - Kết nối tri thức
    • Đề thi, đề kiểm tra 5
      • Đề thi vào lớp 6
      • Tổng hợp đề thi, đề kiểm tra
  • Lớp 4
    • Toán học 4
      • SGK Toán - Kết nối tri thức
      • SGK Toán - Chân trời sáng tạo
      • SGK Toán - Cánh diều
      • SGK Toán - Bình Minh
      • VBT Toán - Kết nối tri thức
      • Vở thực hành Toán
      • Trắc nghiệm Toán - Kết nối tri thức
      • Trắc nghiệm Toán - Cánh diều
      • >> Xem thêm
    • Tiếng việt 4
      • Tiếng Việt - Kết nối tri thức
      • Tiếng Việt - Chân trời sáng tạo
      • Tiếng Việt - Cánh diều
      • VBT Tiếng Việt - Kết nối tri thức
      • Đề thi, đề kiểm tra Tiếng Việt - Kết nối tri thức
      • Đề thi, đề kiểm tra Tiếng Việt - Chân trời sáng tạo
      • Đề thi, đề kiểm tra Tiếng Việt - Cánh diều
      • Ôn hè Tiếng Việt
      • >> Xem thêm
    • Tiếng Anh 4
      • Tiếng Anh - Global Sucess
      • Tiếng Anh - Family and Friends
      • Tiếng Anh - iLearn Smart Start
      • Tiếng Anh - Phonics Smart
      • Tiếng Anh - Explore Our World
      • SBT Tiếng Anh - Global Success
      • SBT Tiếng Anh - Family and Friends
      • SBT Tiếng Anh - iLearn Smart Start
      • >> Xem thêm
    • Lịch sử và Địa lí 4
      • SGK Lịch sử và Địa lí - Kết nối tri thức
      • SGK Lịch sử và Địa lí - Chân trời sáng tạo
      • SGK Lịch sử và Địa lí - Cánh diều
      • VBT Lịch sử và Địa lí - Kết nối tri thức
      • VBT Lịch sử và Địa lí - Chân trời sáng tạo
      • VBT Lịch sử và Địa lí - Cánh diều
      • Đề thi, đề kiểm tra Lịch sử và Địa lí - Kết nối tri thức
      • Đề thi, đề kiểm tra Lịch sử và Địa lí - Chân trời sáng tạo
      • >> Xem thêm
    • Khoa học 4
      • SGK Khoa học - Kết nối tri thức
      • SGK Khoa học - Chân trời sáng tạo
      • SGK Khoa học - Cánh diều
      • VBT Khoa học - Kết nối tri thức
      • VBT Khoa học - Chân trời sáng tạo
      • VBT Khoa học - Cánh diều
    • Đạo đức 4
      • SGK Đạo đức - Kết nối tri thức
      • SGK Đạo đức - Chân trời sáng tạo
      • SGK Đạo đức - Cánh diều
      • VBT Đạo đức - Kết nối tri thức
      • VBT Đạo đức 4 - Chân trời sáng tạo
      • VBT Đạo đức - Cánh diều
    • Tin học 4
      • SGK Tin học - Kết nối tri thức
      • SGK Tin học - Chân trời sáng tạo
      • SGK Tin học - Cánh diều
      • VBT Tin học - Kết nối tri thức
      • VBT Tin học - Chân trời sáng tạo
      • VBT Tin học - Cánh diều
    • Công nghệ 4
      • SGK Công nghệ - Kết nối tri thức
      • SGK Công nghệ - Chân trời sáng tạo
      • SGK Công nghệ - Cánh diều
      • VBT Công nghệ - Kết nối tri thức
      • VBT Công nghệ - Chân trời sáng tạo
      • VBT Công nghệ - Cánh diều
    • HĐ trải nghiệm, hướng nghiệp 4
      • SGK Hoạt động trải nghiệm - Kết nối tri thức
      • SGK Hoạt động trải nghiệm - Cánh diều
      • SGK Hoạt động trải nghiệm - Chân trời sáng tạo Bản 1
      • SGK Hoạt động trải nghiệm - Chân trời sáng tạo Bản 2
      • VBT Hoạt động trải nghiệm - Kết nối tri thức
      • VBT Hoạt động trải nghiệm - Cánh diều
      • VBT Hoạt động trải nghiệm - Chân trời sáng tạo (Bản 1)
      • VBT Hoạt động trải nghiệm - Chân trời sáng tạo (Bản 2)
    • Âm nhạc 4
      • SGK Âm nhạc - Kết nối tri thức
      • SGK Âm nhạc - Chân trời sáng tạo
      • SGK Âm nhạc - Cánh diều
    • Mỹ thuật 4
      • SGK Mĩ thuật - Kết nối tri thức
      • SGK Mĩ thuật - Cánh diều
      • SGK Mĩ thuật - Chân trời sáng tạo bản 1
      • SGK Mĩ thuật - Chân trời sáng tạo bản 2
    • Giáo dục thể chất 4
      • SGK Giáo dục thể chất - Kết nối tri thức
      • SGK Giáo dục thể chất - Cánh diều
      • SGK Giáo dục thể chất - Chân trời sáng tạo
    • Giáo dục địa phương 4
      • Tài liệu Giáo dục địa phương
    • Đề thi, đề kiểm tra 4
      • Tổng hợp đề thi, đề kiểm tra
  • Lớp 3
    • Toán học 3
      • SGK Toán - Kết nối tri thức
      • SGK Toán - Chân trời sáng tạo
      • SGK Toán - Cánh diều
      • VBT Toán - Kết nối tri thức
      • Trắc nghiệm Toán - Kết nối tri thức
      • Trắc nghiệm Toán - Cánh diều
      • Trắc nghiệm Toán - Chân trời sáng tạo
      • Đề thi, đề kiểm tra Toán - Kết nối tri thức
      • >> Xem thêm
    • Tiếng việt 3
      • Tiếng Việt - Kết nối tri thức
      • Tiếng Việt - Chân trời sáng tạo
      • Tiếng Việt - Cánh diều
      • VBT Tiếng Việt - Kết nối tri thức
      • VBT Tiếng Việt - Chân trời sáng tạo
      • VBT Tiếng Việt - Cánh diều
      • Đề thi, đề kiểm tra Tiếng Việt - Kết nối tri thức
      • Đề thi, đề kiểm tra Tiếng Việt - Chân trời sáng tạo
      • >> Xem thêm
    • Tiếng Anh 3
      • Tiếng Anh - Global Success
      • Tiếng Anh - Family and Friends
      • Tiếng Anh - iLearn Smart Start
      • Tiếng Anh - Explore Our World
      • Tiếng Anh - Phonics Smart
      • SBT Tiếng Anh - Global Success
      • SBT Tiếng Anh - Family and Friends
      • SBT Tiếng Anh - iLearn Smart Start
      • >> Xem thêm
    • Tự nhiên và xã hội 3
      • VBT Tự nhiên và xã hội - Cánh diều
      • Tự nhiên và xã hội - Kết nối tri thức
      • Tự nhiên và xã hội - Chân trời sáng tạo
      • Tự nhiên và xã hội - Cánh diều
      • VBT Tự nhiên và xã hội - Kết nối tri thức
      • VBT Tự nhiên và xã hội - Chân trời sáng tạo
    • Đạo đức 3
      • SGK Đạo đức - Kết nối tri thức
      • SGK Đạo đức - Chân trời sáng tạo
      • SGK Đạo đức - Cánh diều
      • VBT Đạo đức - Kết nối tri thức
      • VBT Đạo đức - Cánh diều
      • VBT Đạo đức - Chân trời sáng tạo
    • Tin học 3
      • SGK Tin học - Kết nối tri thức
      • SGK Tin học - Chân trời sáng tạo
      • SGK Tin học - Cánh diều
      • VBT Tin học - Kết nối tri thức
      • VBT Tin học - Chân trời sáng tạo
    • HĐ trải nghiệm, hướng nghiệp 3
      • SGK Hoạt động trải nghiệm- Kết nối tri thức
      • SGK Hoạt động trải nghiệm- Chân trời sáng tạo
      • SGK Hoạt động trải nghiệm - Cánh diều
      • VBT Hoạt động trải nghệm - Kết nối tri thức
      • VBT Hoạt động trải nghiệm - Chân trời sáng tạo
      • VBT Hoạt động trải nghiệm - Cánh diều
    • Công nghệ 3
      • SGK Công nghệ - Kết nối tri thức
      • SGK Công nghệ - Chân trời sáng tạo
      • SGK Công nghệ - Cánh diều
      • VBT Công nghệ - Kết nối tri thức
      • VBT Công nghệ - Chân trời sáng tạo
      • VBT Công nghệ - Cánh diều
    • Âm nhạc 3
      • Âm nhạc - Kết nối tri thức
      • Âm nhạc - Chân trời sáng tạo
      • Âm nhạc - Cánh diều
    • Giáo dục thể chất 3
      • SGK Giáo dục thể chất - Kết nối tri thức
      • SGK Giáo dục thể chất - Chân trời sáng tạo
      • SGK Giáo dục thể chất - Cánh diều
    • Giáo dục địa phương 3
      • Tài liệu Giáo dục địa phương
  • Lớp 2
    • Toán học 2
      • SGK Toán - Kết nối tri thức
      • SGK Toán - Chân trời sáng tạo
      • SGK Toán - Cánh Diều
      • VBT Toán - KNTT
      • VBT Toán - CTST
      • Trắc nghiệm Toán - Kết nối tri thức
      • Trắc nghiệm Toán - Chân trời sáng tạo
      • Trắc nghiệm Toán - Cánh Diều
      • >> Xem thêm
    • Tiếng việt 2
      • Tiếng Việt - Kết nối tri thức
      • Tiếng Việt - Chân trời sáng tạo
      • Tiếng Việt - Cánh Diều
      • Văn mẫu - Kết nối tri thức
      • Văn mẫu - Chân trời sáng tạo
      • Văn mẫu - Cánh diều
      • VBT Tiếng Việt - Kết nối tri thức
      • VBT Tiếng Việt - Chân trời sáng tạo
      • >> Xem thêm
    • Tiếng Anh 2
      • Tiếng Anh - Kết nối tri thức
      • Tiếng Anh - Family and Friends
      • Tiếng Anh - iLearn Smart Start
      • Tiếng Anh - Phonics Smart
      • Tiếng Anh - English Discovery
      • Tiếng Anh - Explore Our World
      • Family & Friends Special
      • SBT Kết nối tri thức
      • >> Xem thêm
    • Tự nhiên và xã hội 2
      • Tự nhiên và xã hội - Kết nối tri thức
      • Tự nhiên và xã hội - Chân trời sáng tạo
      • Tự nhiên và xã hội - Cánh diều
      • VBT Tự nhiên và xã hội - Kết nối tri thức
      • VBT Tự nhiên và xã hội - Cánh diều
      • VBT Tự nhiên và xã hội - Chân trời sáng tạo
    • Đạo đức 2
      • SGK Đạo đức - Kết nối tri thức
      • SGK Đạo đức - Chân trời sáng tạo
      • SGK Đạo đức - Cánh Diều
      • VBT Đạo đức - Kết nối tri thức
      • VBT Đạo đức - Chân trời sáng tạo
      • VBT Đạo đức - Cánh Diều
    • Âm nhạc 2
      • Âm nhạc 2 - Kết nối tri thức
      • Âm nhạc 2 - Chân trời sáng tạo
      • Âm nhạc 2 - Cánh diều
      • VBT Âm nhạc - Kết nối tri thức
      • VBT Âm nhạc - Chân trời sáng tạo
      • VBT Âm nhạc - Cánh diều
    • Mỹ thuật 2
      • Mĩ thuật- Kết nối tri thức
      • Mĩ thuật- Chân trời sáng tạo
      • Mĩ thuật - Cánh Diều
    • HĐ trải nghiệm, hướng nghiệp 2
      • VBT Hoạt động trải nghiệm - Chân trời sáng tạo
      • VTH Hoạt động trải nghiệm - Cánh Diều
      • VBT Hoạt động trải nghiệm - Kết nối tri thức
    • Giáo dục địa phương 2
      • Tài liệu Giáo dục địa phương
  • Lớp 1
    • Tiếng việt 1
      • Đề thi, kiểm tra Tiếng Việt
      • SGK Tiếng Việt - Kết nối tri thức
      • SGK Tiếng Việt - Chân trời sáng tạo
      • SGK Tiếng Việt - Cánh diều
    • Toán học 1
      • SGK Toán - Kết nối tri thức
      • SGK Toán - Cánh diều
      • SGK Toán - Chân trời sáng tạo
      • Trắc nghiệm Toán
    • Tiếng Anh 1
      • Chứng chỉ Cambridge Pre A1 Starters
    • Truyện cổ tích 1
      • Truyện cổ tích
    • Tự nhiên và xã hội 1
      • Tự nhiên & xã hội
      • VBT Tự nhiên & xã hội
    • Đạo đức 1
      • VBT Đạo Đức
    • Giáo dục địa phương 1
      • Tài liệu Giáo dục địa phương
  • Công cụ
    • Ngữ văn
      • Từ điển tiếng Việt
      • Từ đồng nghĩa, trái nghĩa
      • Thành ngữ Việt Nam
      • Dẫn chứng nghị luận xã hội
      • Ca dao, tục ngữ
      • Chính tả tiếng Việt
      • Từ láy
      • Kho truyện
      • >> Xem thêm
    • Tiếng Anh
      • Động từ bất quy tắc
      • Cụm động từ (Phrasal verbs)

Môn Toán - Lớp 12


Câu hỏi

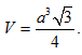
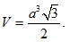
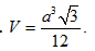
  • A
  • B
  • C
  • D

Lời giải chi tiết:

Câu hỏi trước Câu hỏi tiếp theo

Luyện Bài Tập Trắc nghiệm Toán 12 - Xem ngay


TẢI APP ĐỂ XEM OFFLINE
App Loigiaihay trên google play store App Loigiaihay trên apple store

Liên hệ Chính sách

Copyright © 2021 loigiaihay.com

DMCA.com Protection Status
App Loigiaihay trên apple store App Loigiaihay trên google play store