Câu hỏi
Một nguồn điện được mắc với một biến trở. Khi điện trở của biến trở là 1,65 \(\Omega \) thì hiệu điện thế giữa hai cực của nguồn là 3,3 V, còn khi điện trở của biến trở là 3,5 \(\Omega \) thì hiệu điện thế giữa hai cực của nguồn là 3,5 V. Tính suất điện động và điện trở trong của nguồn.
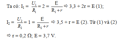
Lời giải chi tiết:


